广东等近15省2022年高考分数线及一分一段表出炉!
今天,广东、湖南、陕西、广西、重庆、安徽、黑龙江等多个地区相继公布了2022年高考分数线,今年分数线普遍降低,尤其是文科大幅度降低,理科有升有降,赶紧来看看吧!

识别下方二维码查看各省分数线&一分一段表汇总↓
从目前分数线已出的地区来看:
1、传统高考地区,大部分省份文科分数线大幅度下降,理科有升有降。文科普遍下降10-30分左右,最高下降45分,理科普遍上涨10分以内,当然,江西、四川等地理科分数线都下降了10分以内。
2、新高考地区历史类和物理类普遍下降几十分,尤其是重庆,历史类下降45分,物理类下降52分,可谓断崖式下滑。

2022年各省高考成绩一分一段表
各院校录取分数线每年都会有波动,但院校的录取排位每年都会相对稳定在一定范围内。而一分一段表中的排位信息就是考生志愿填报时的重要参考,所以每个考生在填志愿前,都必须重视起来,认真参考。
值得注意的是,今年的位次发生了比较大的变化,有的省份高分段考生严重缩水。大部分考生堆积到550-600分,对这部分同学来说,也给报考增加了难度。同时受影响的还有中上层次的高校录取分数线。
01
湖 南
文史类:

物理类:

02
天 津


03
广 西
文史类:

理工类:

04
安徽
文史类:



理工类:



05
黑 龙 江
文史类:

理工类:

06
吉林
理工:



文史:



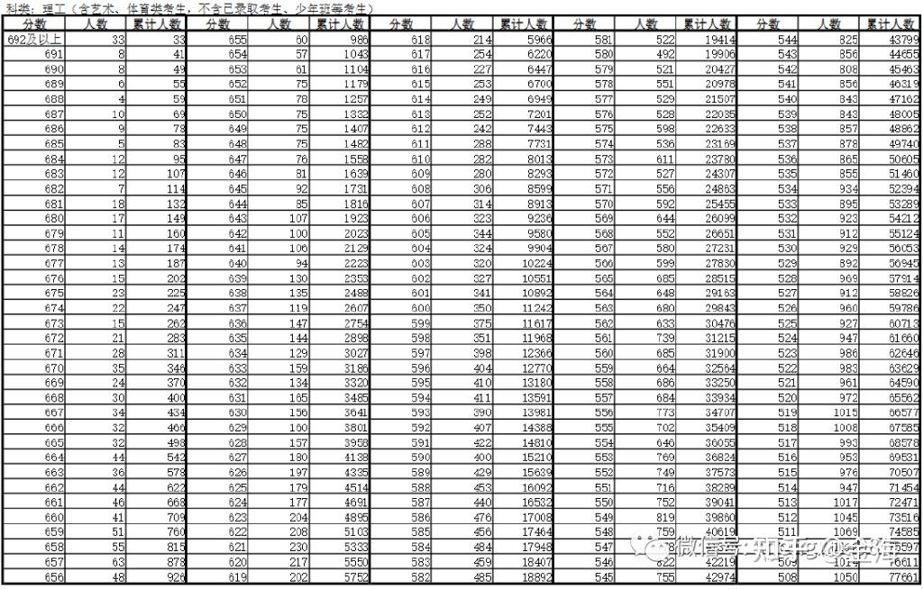
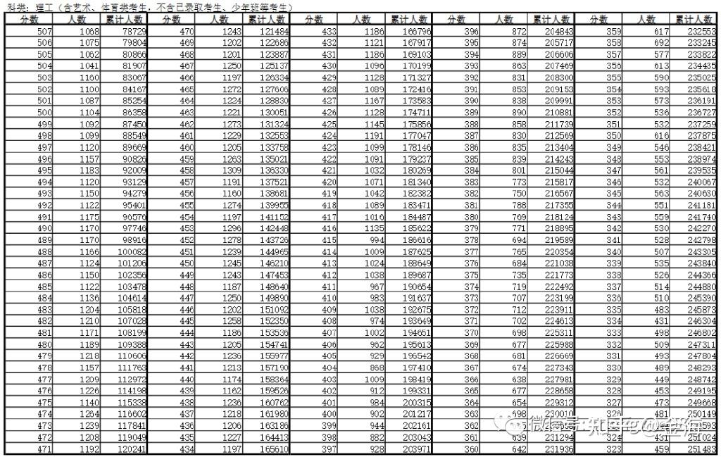
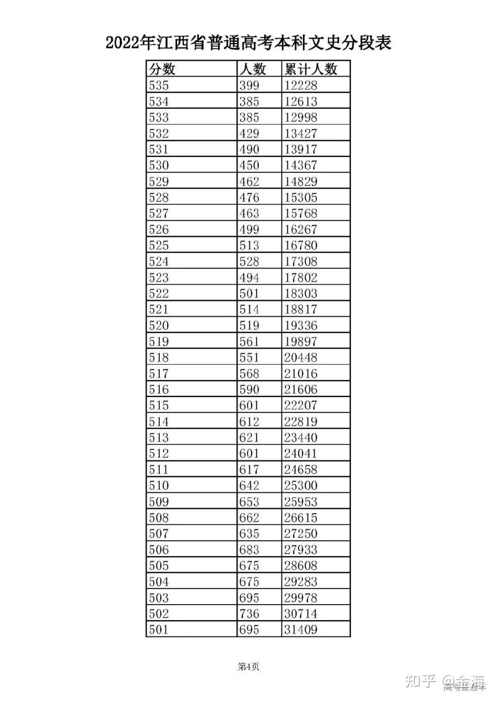
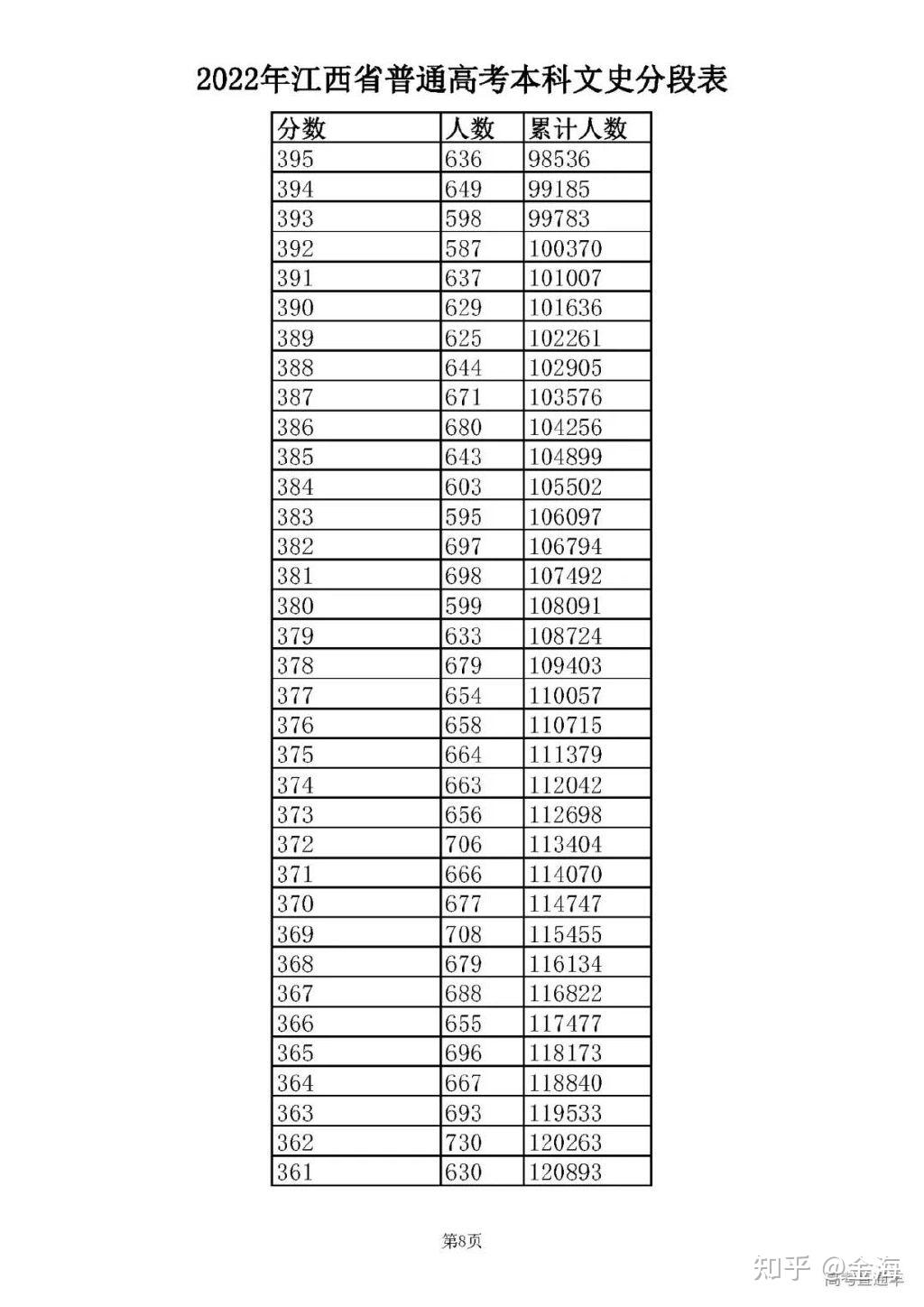
07
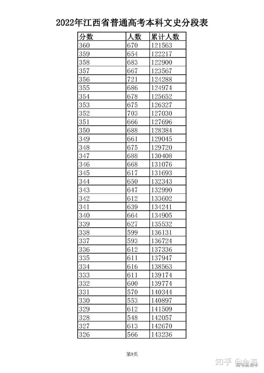
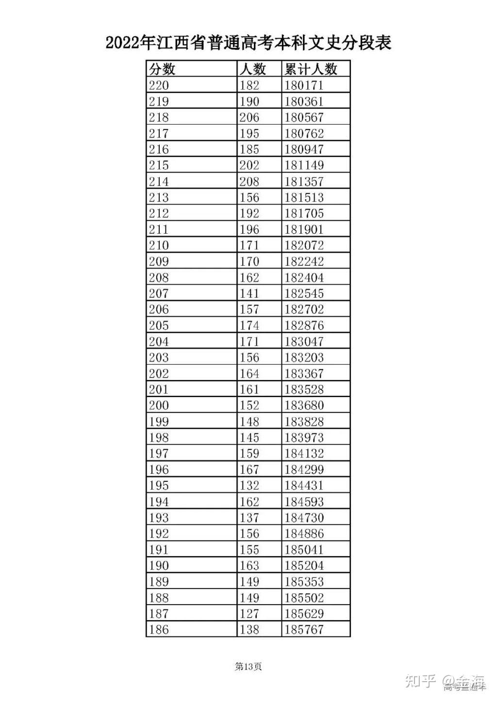
江 西
文史类:
















理工类:

















三校文理:














08
甘 肃

09
宁 夏
文史类:

理工类:

10
云 南

11
内蒙古
文科:

理科:

12
四 川
文科:



















注:100分以下略
理科:





















注:100分以下略
13
辽 宁
(历史学科类)

(理工类)





陕公网安备 61011302001522号